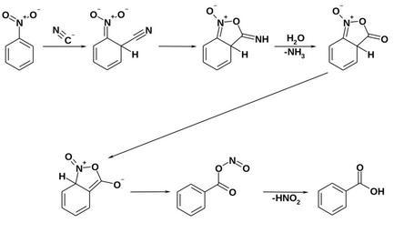
MAKE A MEME View Large Image Von Richter reaction history 02.svg en von Richter reaction - historic version of reaction mechanism de von Richter Reaktion - historische Version des Reaktionsmechanismus own Steffen 962 2011-01-03 PD-chem from J F Bunnett Mechanism and ...
View Original:Von Richter reaction history 02.svg (1226x726)
Download: Original    Medium    Small Thumb
Courtesy of:commons.wikimedia.org More Like This
Keywords: Von Richter reaction history 02.svg en von Richter reaction - historic version of reaction mechanism de von Richter Reaktion - historische Version des Reaktionsmechanismus own Steffen 962 2011-01-03 PD-chem from J F Bunnett Mechanism and reactivity in aromatic nucleophilic substitution reactions in Q Rev Chem Soc 12 1958 S 1 “16 Cc-zero Von Richter reaction
Terms of Use   Search of the Day