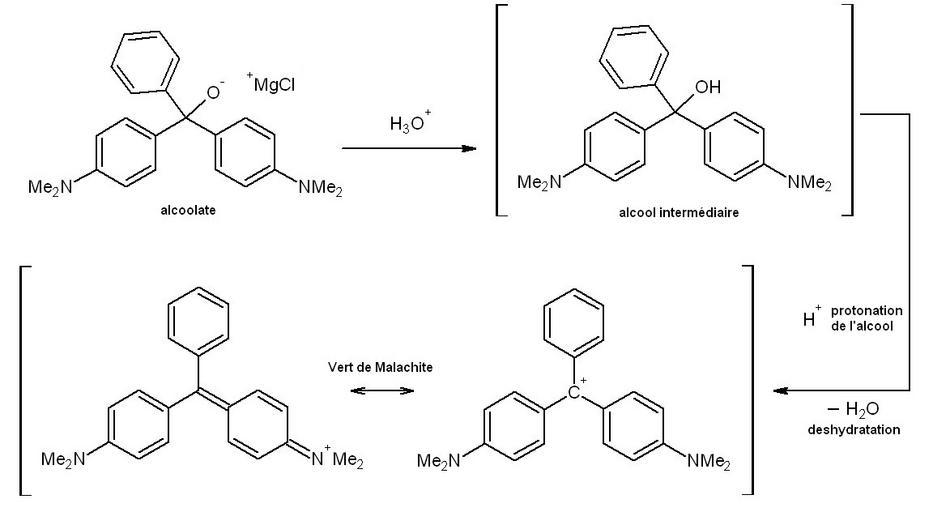
MAKE A MEME View Large Image Synthese vert malachite 2.jpg étape 2 de la synthèse du vert de malachite own 2007-01-01 Sébastien Bruneau image cédée au domaine public Triarylmethane dyes chemical reactions
View Original:Synthese vert malachite 2.jpg (1152x632)
Download: Original    Medium    Small Thumb
Courtesy of:commons.wikimedia.org More Like This
Keywords: Synthese vert malachite 2.jpg étape 2 de la synthèse du vert de malachite own 2007-01-01 Sébastien Bruneau image cédée au domaine public Triarylmethane dyes chemical reactions
Terms of Use   Search of the Day