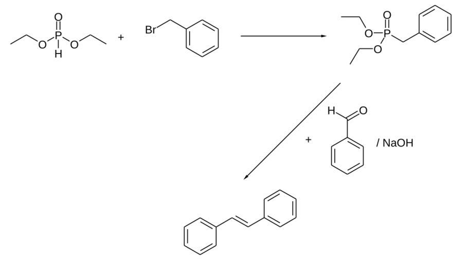
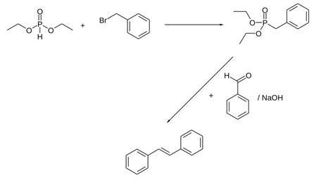
MAKE A MEME View Large Image Stilbene synthesis01.svg en Synthesis of E -stilbene de Synthese von trans-Stilben own Steffen 962 2011-01-24 PD-chem Cc-zero Stilbene Horner “Wadsworth “Emmons reaction
View Original:Stilbene synthesis01.svg (1261x708)
Download: Original    Medium    Small Thumb
Courtesy of:commons.wikimedia.org More Like This
Keywords: Stilbene synthesis01.svg en Synthesis of E -stilbene de Synthese von trans-Stilben own Steffen 962 2011-01-24 PD-chem Cc-zero Stilbene Horner “Wadsworth “Emmons reaction
Terms of Use   Search of the Day