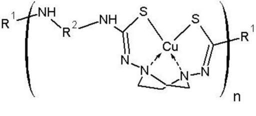
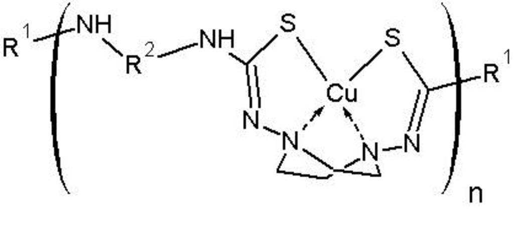
MAKE A MEME View Large Image PolimeroCu.jpg es Un polímero bioeficaz de cobre own LPWT09 Organometallic chemistry
View Original:PolimeroCu.jpg (418x189)
Download: Original    Medium    Small Thumb
Courtesy of:commons.wikimedia.org More Like This
Keywords: PolimeroCu.jpg es Un polímero bioeficaz de cobre own LPWT09 Organometallic chemistry
Terms of Use   Search of the Day