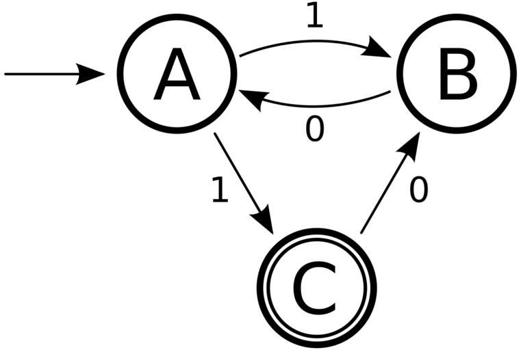
MAKE A MEME View Large Image NASdoDASetap1.svg NFA to DFA powerset 1 own 2008 Emergie Automata theory
View Original:NASdoDASetap1.svg (260x175)
Download: Original    Medium    Small Thumb
Courtesy of:commons.wikimedia.org More Like This
Keywords: NASdoDASetap1.svg NFA to DFA powerset 1 own 2008 Emergie Automata theory
Terms of Use   Search of the Day