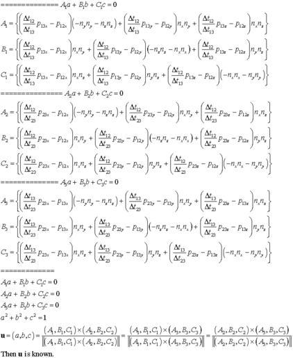
MAKE A MEME View Large Image Mach03.gif en Calculation of destination of mach speed projectile using 3 microphones own Jon717 2009-01-01 3 0f 5 Mathematical formulas Mathematical diagrams White background
View Original:Mach03.gif (724x884)
Download: Original    Medium    Small Thumb
Courtesy of:commons.wikimedia.org More Like This
Keywords: Mach03.gif en Calculation of destination of mach speed projectile using 3 microphones own Jon717 2009-01-01 3 0f 5 Mathematical formulas Mathematical diagrams White background
Terms of Use   Search of the Day