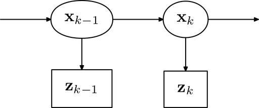
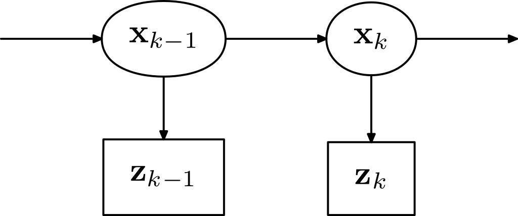
MAKE A MEME View Large Image Kalman Filter Derivation.svg en A Kalman filter as a Hidden Markov model own Qef 2008-07-08 Original bitmap version en Image HMMKalmanFilterDerivation png Other fields M + prologues 3; input boxes beginfig 1 ; arrowlenx 16mm; arrowleny ...
View Original:HMM Kalman Filter Derivation.svg (466x195)
Download: Original    Medium    Small Thumb
Courtesy of:commons.wikimedia.org More Like This
Keywords: HMM Kalman Filter Derivation.svg en A Kalman filter as a Hidden Markov model own Qef 2008-07-08 Original bitmap version en Image HMMKalmanFilterDerivation png Other fields M + prologues 3; input boxes beginfig 1 ; arrowlenx 16mm; arrowleny 10mm; pickup pencircle scaled 1pt; circleit xa btex \bf x _ k-1 etex scaled 1 5 ; circleit xb btex \bf x _k etex scaled 1 5 ; boxit za btex \bf z _ k-1 etex scaled 1 5 ; boxit zb btex \bf z _k etex scaled 1 5 ; xa dx xb dx za dx zb dx defaultdx 4; xa dy xb dy za dy zb dy defaultdy 4; xpart xa w arrowlenx; ypart za s ypart zb s 0; xb w xa e + arrowlenx 0 ; xa s za n + 0 arrowleny ; xb s zb n + 0 whatever ; drawboxed xa xb za zb ; drawarrow xa w - arrowlenx 0 --xa w; drawarrow xa e--xb w; drawarrow xb e-- xb e + arrowlenx 0 ; drawarrow xa s--za n; drawarrow xb s--zb n; endfig; end text mpost fig mp ps2pdf fig 1 fig pdf pstoedit -page 1 -dt -xscale 2 -yscale 2 -f sk fig pdf fig sk inkscape -z --vacuum-defs -f fig sk -l fig svg Qef Hidden Markov Model Kalman filters
Terms of Use   Search of the Day