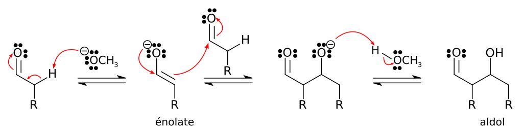
MAKE A MEME View Large Image Enolate aldol formation mechanism-fr.svg Mécanisme de la réaction aldol en milieu basique Original image Image Enolate aldol formation mechanism png by Walkerma French translation and transition to SVG made up from scratch with bkchem and ...
View Original:Enolate aldol formation mechanism-fr.svg (620x160)
Download: Original    Medium    Small Thumb
Courtesy of:commons.wikimedia.org More Like This
Keywords: Enolate aldol formation mechanism-fr.svg Mécanisme de la réaction aldol en milieu basique Original image Image Enolate aldol formation mechanism png by Walkerma French translation and transition to SVG made up from scratch with bkchem and Inkscape by chtit_draco 15 16 24 November 2007 UTC Chtit draco Enolate aldol formation mechanism-id svg English bitmap image Image Enolate aldol formation mechanism png Aldol reaction Enolates
Terms of Use   Search of the Day