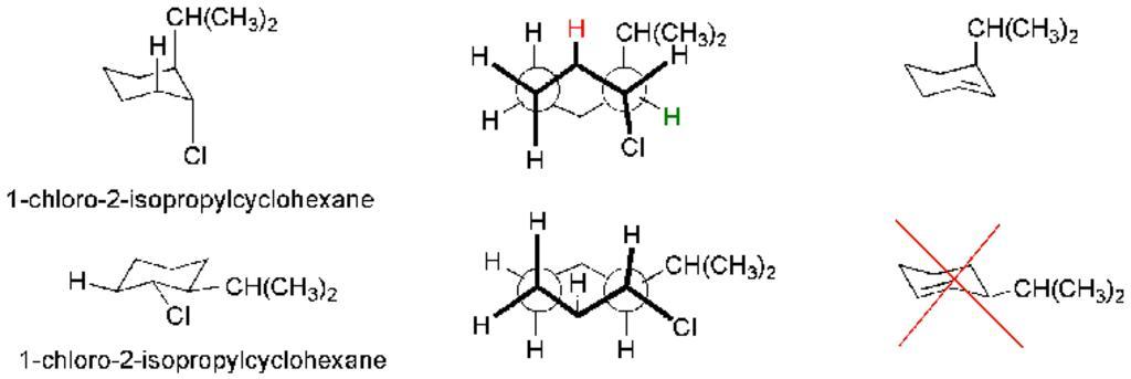
MAKE A MEME View Large Image ...Elimination with sterics sample3.png E2 Elimination with sterics Own 2006-11-19 Pete Davis Elimination reactions Steric hindrance
View Original:E2-Elimination with sterics sample3.png (759x254)
Download: Original    Medium    Small Thumb
Courtesy of:commons.wikimedia.org More Like This
Keywords: E2-Elimination with sterics sample3.png E2 Elimination with sterics Own 2006-11-19 Pete Davis Elimination reactions Steric hindrance
Terms of Use   Search of the Day