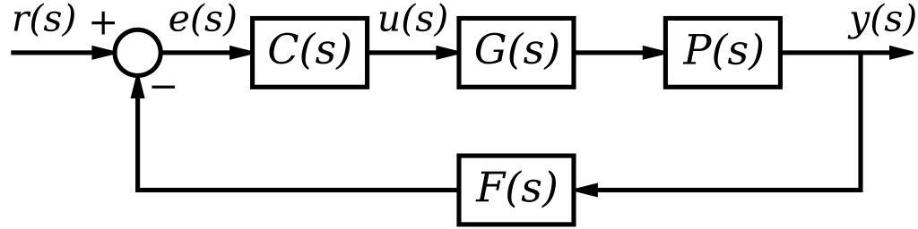
MAKE A MEME View Large Image Control System.svg A block digram of a control system with compensators See the key below for meanings of the symbols self-made Inkscape 2008-01-26 Inductiveload wikitable Symbol English - G s System or plant - C s Pre-compensator - P s ...
View Original:Control System.svg (400x100)
Download: Original    Medium    Small Thumb
Courtesy of:commons.wikimedia.org More Like This
Keywords: Control System.svg A block digram of a control system with compensators See the key below for meanings of the symbols self-made Inkscape 2008-01-26 Inductiveload wikitable Symbol English - G s System or plant - C s Pre-compensator - P s Post-compensator - F s Feedback Compensator - r s Reference signal - e s Tracking error signal - u s Input or actuator signal - y s Output Signal Control theory block diagrams
Terms of Use   Search of the Day