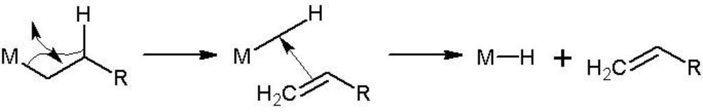
MAKE A MEME View Large Image B-eliminacion.jpg es Mecanismo de la β-Eliminación own LPWT09 2009-06-04 Check categories 2009 June 13 es wikipedia Organolantánido 1 Organometallic chemistry
View Original:B-eliminacion.jpg (684x109)
Download: Original    Medium    Small Thumb
Courtesy of:commons.wikimedia.org More Like This
Keywords: B-eliminacion.jpg es Mecanismo de la β-Eliminación own LPWT09 2009-06-04 Check categories 2009 June 13 es wikipedia Organolantánido 1 Organometallic chemistry
Terms of Use   Search of the Day