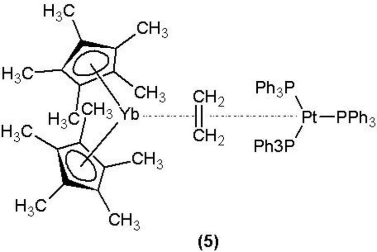
MAKE A MEME View Large Image Alquenos raro.jpg es Raro ejemplo en que un metal de tierras raras se coordina de forma dihapto a una olefina Gracias a la donación de carga por parte del Pt 0 Own LPWT09 contenido libre Check categories 2009 June 13 es wikipedia ...
View Original:Alquenos raro.jpg (456x305)
Download: Original    Medium    Small Thumb
Courtesy of:commons.wikimedia.org More Like This
Keywords: Alquenos raro.jpg es Raro ejemplo en que un metal de tierras raras se coordina de forma dihapto a una olefina Gracias a la donación de carga por parte del Pt 0 Own LPWT09 contenido libre Check categories 2009 June 13 es wikipedia Organolantánido 1 Organometallic chemistry
Terms of Use   Search of the Day