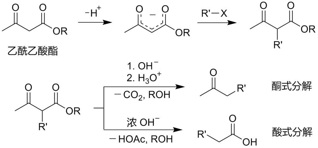
MAKE A MEME View Large Image AcetoaceticEsterSynthesis.png en Acetoacetic ester synthesis Own Choij 2008-12-23 Organic syntheses
View Original:AcetoaceticEsterSynthesis.png (1309x610)
Download: Original    Medium    Small Thumb
Courtesy of:commons.wikimedia.org More Like This
Keywords: AcetoaceticEsterSynthesis.png en Acetoacetic ester synthesis Own Choij 2008-12-23 Organic syntheses
Terms of Use   Search of the Day